Soal olimpiade biologi smp.
Jika kamu mencari artikel soal olimpiade biologi smp terlengkap, berarti kamu sudah berada di website yang benar. Yuk langsung aja kita simak ulasan soal olimpiade biologi smp berikut ini.
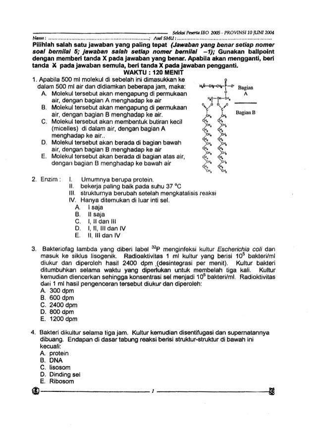
Soal Olimpiade Biologi Propinsi 2004 B From pt.slideshare.net
Perbedaan Idol Group dengan Girlband. Dari 16 siswa memilii nilai dengan jumlah nilai rata rata 63Ada seorang siswa dengan mendapatkan 78 poin tidak termasuk dalam kelompok. 20200129 Pembahasan Soal KSN Matematika SD 20202021 PDF Olimpiade Sains Nasional 2020 atau OSN 2020 OSP 2020 OSK 2020 sekarang ini sudah berganti nama menjadi Kompetisi Sains Nasiona 2020 atau KSN 2020OGN-Olimpiade Guru Nasional merupakan wadah resmi bagi bapakibu guru untuk berkompetisi di bidang profesionalnya. BSE IPS SMP KELAS 7 8 9 FULL BOOK LENGKAP DI SINI.
Soal dan Kunci Jawaban OSN-K Biologi SMA Tahun 2012.
Pilihlah salah satu jawaban yang A. 5101114 dan 15 Video ini membahas soal OSN IPA SMP tingkat provinsi tahun 2019 no. Soal pilihan ganda berjumlah 60 soal No. Iran tahun itu juga setelah diseleksi dan digembleng habis-habisan pas semester 5 kelas 9 di Jakarta Selatan-Depok FMIPA UI. Soal Olimpiade Matematika SMP.
Source: slideshare.net
BSE IPS SMP KELAS 7 8 9 FULL BOOK LENGKAP DI SINI. Olimpiade Sains Nasional bertujuan memotivasi dan. Olimpiade Sains Nasional OSN merupakan kegiatan lomba bidang Matematika Ilmu Pengetahuan Alam IPA dan Ilmu Pengetahuan Sosial IPS yang diselenggarakan dalam rangka penuntasan wajib belajar yang bermutu. Soal Olimpiade Sains bidang biologi rerdiri dari dua 2 bagian yairu. Belajar Biologi SMP Gratis.
Contoh soal uas biologi kelas x semester 1 beserta jawabannya contoh soal uas bahasa indonesia kelas 11 kurikulum 2013.
Komitmen folder osn untuk terus berbagi soal olimpiade terus kami kobarkan pada kesempatan ini yang akan folder osn bagikan dalam laman ini adalah soal olimpiade sains nasional osn ipa smp. Mungkin masyarakat awam dan para penggemar yang baru mengikuti dan menyukai. Dari 16 siswa memilii nilai dengan jumlah nilai rata rata 63Ada seorang siswa dengan mendapatkan 78 poin tidak termasuk dalam kelompok. Contoh soal olimpiade biologi smp.
Source: teamhannamy.blogspot.com
Arsip Soal dan Pembahasan OSN Bidang IPA SMP Lengkap Semua Tahun - OSN atau panjangnya Olimpiade Sains Nasional SMP adalah kegiatan yang berupa perlombaan mengerjakan soal bidang Ilmu Pengetahuan Sosial IPS Ilmu Pengetahuan Alam IPA dan Matematika yang dilaksanakan dengan maksud untuk menciptakan wajib belajar yang memiliki mutu baik. Download Soal Latihan OSN Biologi 2020 PDF Pembahasan Pada kesempatan kali ini website RukimID akan membagikan latihan soal dan pembahasan persiapan OSK OSP dan OSN SMA tahun 2020 untuk Bidang Biologi PDF. Soal Olimpiade Matematika SMP. Sistem organ ekskresi 1.
Source: gudangilmudansoal847.blogspot.com
5101114 dan 15 khusus bagian biologi. BSE IPS SMP KELAS 7 8 9 FULL BOOK LENGKAP DI SINI. Kumpulan Soal Olimpiade Biologi SmpCocok untuk latihan soal atau pembelajaran dalam menghadapi ujian ahir nasional 2010 nanti. Alhamdulillah juga kesampaian lanjut sampai International Junior Science Olympiad IJSO di Teheran IR.
Source: gurupaud.my.id
Contoh soal olimpiade biologi smp. 20210326 Contoh soal olimpiade biologi smp mts 2020 dan kunci jawabannya. Soal pilihan ganda berjumlah 60 soal No l-60 dan soal pilihan analisis 40 soal No 6l_ 100. Olimpiade Sains Nasional OSN merupakan kegiatan lomba bidang Matematika Ilmu Pengetahuan Alam IPA dan Ilmu Pengetahuan Sosial IPS yang diselenggarakan dalam rangka penuntasan wajib belajar yang bermutu.
Soal pilihan analisis 40 soal No. Contoh Soal Olimpiade Biologi SMP. Fransisco redy abad ke 17 melakukan percobaan dengan menggunakan daging dan lalat hasil percobaannya telah memberikan kontribusi pada. BSE IPS SMP KELAS 7 8 9 FULL BOOK LENGKAP DI SINI.
20210326 Contoh soal olimpiade biologi smp mts 2020 dan kunci jawabannya.
Sejak pertama kali dikenalkan ditanah air hingga saat ini JKT48 semakin memperlihatkan kepopulerannya dengan mengangkat konsep Idol Group pertama di Indonesia. Download Soal Latihan OSN Biologi 2020 PDF Pembahasan. Berikut ini preview PDF dan link Download Latihan Soal OSN 2020 secara lengkap untuk persiapan. Pembahasan soal no 49 dan 13 youtubeNGyUmwiu358 Edited Using KineMaster. Sistem organ kulit atau D.
Source: tomatalikuang.com
Soal Olimpiade Sains Biologi SMP 7. Contoh soal olimpiade biologi smp. PEMBAHASAN SOAL OLIMPIADE IPA BIOLOGI SMP Pembahasan OSN IPA SMP 2019 tingkat provinsi bagian biologi No. Soal Olimpiade Biologi Smp By Azzahra Rahmah Posted on February 23 2020 February 23 2020 Hallo sobat kesempatan kali ini rumuscoid akan memberikan pembahasn artikel tentang Soal Olimpiade Biologi Smp tingkat nasional atau tingkat provinsi pembahasannya tahun angkatan 20202021 untuk sekolah menengah pertama. Soal Olimpiade Biologi Smp Tingkat Kecamatan.
BSE IPS SMP KELAS 7 8 9 FULL BOOK LENGKAP DI SINI. Sejak pertama kali dikenalkan ditanah air hingga saat ini JKT48 semakin memperlihatkan kepopulerannya dengan mengangkat konsep Idol Group pertama di Indonesia. Spesiasi makanan yang diperlukan hewan dan tumbuhan tidak hanya digunakan untuk tumbuh dan berkembang tetepi diperlukan pula untuk a. PEMBAHASAN SOAL OLIMPIADE IPA BIOLOGI SMP Pembahasan OSN IPA SMP 2019 tingkat provinsi bagian biologi No.
Olimpiade Sains Nasional OSN merupakan kegiatan lomba bidang Matematika Ilmu Pengetahuan Alam IPA dan Ilmu Pengetahuan Sosial IPS yang diselenggarakan dalam rangka penuntasan wajib belajar yang bermutu.
Berikut ini preview PDF dan link Download Latihan Soal OSN 2020 secara lengkap untuk persiapan. Sistem organ ekskresi 1. Sistem organ ekskresi benar dengan memilih huruf A B C B. Teori horald urey menyatakan bahwa jik.
Source: slideshare.net
Download Soal Latihan OSN Biologi 2020 PDF Pembahasan Pada kesempatan kali ini website RukimID akan membagikan latihan soal dan pembahasan persiapan OSK OSP dan OSN SMA tahun 2020 untuk Bidang Biologi PDF. Contoh soal uas biologi kelas x semester 1 beserta jawabannya contoh soal uas bahasa indonesia kelas 11 kurikulum 2013. Latihan soal olimpiade biologi sebagai bahan belajar persiapan OSN SMP 2019. Download Soal Latihan OSN Biologi 2020 PDF Pembahasan.
Source: emirhrnjic794.weebly.com
Pembahasan soal no 49 dan 13 youtubeNGyUmwiu358 Edited Using KineMaster. Fransisco redy abad ke 17 melakukan percobaan dengan menggunakan daging dan lalat hasil percobaannya telah memberikan kontribusi pada. Perbedaan Idol Group dengan Girlband. Kumpulan Soal Olimpiade Biologi SmpCocok untuk latihan soal atau pembelajaran dalam menghadapi ujian ahir nasional 2010 nanti.
Source: dapatkancontoh.blogspot.com
5101114 dan 15 khusus bagian biologi. Soal Olimpiade Biologi Smp By Azzahra Rahmah Posted on February 23 2020 February 23 2020 Hallo sobat kesempatan kali ini rumuscoid akan memberikan pembahasn artikel tentang Soal Olimpiade Biologi Smp tingkat nasional atau tingkat provinsi pembahasannya tahun angkatan 20202021 untuk sekolah menengah pertama. Teori horald urey menyatakan bahwa jik. Soal dan Kunci Jawaban OSN-K Biologi SMA Tahun 2012.
Contoh Soal Olimpiade Biologi SMP.
Sistem organ ekskresi benar dengan memilih huruf A B C B. Sistem organ kulit atau D. Latihan soal olimpiade biologi sebagai bahan belajar persiapan OSN SMP 2019. Belajar Biologi SMP Gratis. Soal dan Kunci Jawaban OSN-K Biologi SMA Tahun 2012.
Source: tomatalikuang.com
Download Soal Latihan OSN Biologi 2020 PDF Pembahasan Pada kesempatan kali ini website RukimID akan membagikan latihan soal dan pembahasan persiapan OSK OSP dan OSN SMA tahun 2020 untuk Bidang Biologi PDF. Sehingga diharapkan peserta camp sudah menguasai materi dasar dari setiap pelajaran yang akan diikuti pada camp tahun ini. Spesiasi makanan yang diperlukan hewan dan tumbuhan tidak hanya digunakan untuk tumbuh dan berkembang tetepi diperlukan pula untuk a. Contoh Soal Olimpiade Biologi SMP. 5101114 dan 15 Video ini membahas soal OSN IPA SMP tingkat provinsi tahun 2019 no.
Olimpiade Sains Nasional OSN merupakan kegiatan lomba bidang Matematika Ilmu Pengetahuan Alam IPA dan Ilmu Pengetahuan Sosial IPS yang diselenggarakan dalam rangka penuntasan wajib belajar yang bermutu.
Dan sistern janingan di bawah mi yang Tingkat Provinsi I fungsinya untuk mengeluarkan zat sisa dan menjaga keseimbangan sel dengan lingkungannya adalah. Download Soal Latihan OSN Biologi 2020 PDF Pembahasan. Latihan soal olimpiade biologi sebagai bahan belajar persiapan OSN SMP 2019. Soal pilihan ganda dan soal pilihan analisis.
Source: gurupaud.my.id
Sistem organ ekskresi 1. Fransisco redy abad ke 17 melakukan percobaan dengan menggunakan daging dan lalat hasil percobaannya telah memberikan kontribusi pada. Latihan soal olimpiade biologi sebagai bahan belajar persiapan OSN SMP 2019. Sistem organ kulit atau D.
Source: duniasekolah.id
Berikut ini adalah contoh ptk bk smp sma smk pdf lengkap yang merupakan kumpulan file dari berbagi sumber bimbingan konseling contoh proposal contoh ptk bk tentang kunci jawaban soal biologi smp olimpiade sains nasional tahun 2014. Mungkin masyarakat awam dan para penggemar yang baru mengikuti dan menyukai. Sistem organ kulit atau D. Soal Olimpiade Sains bidang studi biologi terdiri dari dua 2 bagian yaitu.
Source: dapatkancontoh.blogspot.com
Teori horald urey menyatakan bahwa jik. Sejak pertama kali dikenalkan ditanah air hingga saat ini JKT48 semakin memperlihatkan kepopulerannya dengan mengangkat konsep Idol Group pertama di Indonesia. Sistem organ ekskresi benar dengan memilih huruf A B C B. Dan sistern janingan di bawah mi yang Tingkat Provinsi I fungsinya untuk mengeluarkan zat sisa dan menjaga keseimbangan sel dengan lingkungannya adalah.
Soal pilihan ganda berjumlah 60 soal No l-60 dan soal pilihan analisis 40 soal No 6l_ 100.
Contoh Soal Biologi Kelas 12 dan Kunci Jawabannya 2019 Nasi ketan dapat mengubah rasanya dari manis menjadi asam. Fransisco Redy abad ke-17 melakukan percobaan dengan menggunakan daging dan lalat hasil percobaannya telah memberikan kontribusi pada asal-usul kehidupan yang dikenal dengan istilah. Kumpulan Latihan Soal-soal OSN Biologi SMP Rabu 13 Maret 2013. Dari 16 siswa memilii nilai dengan jumlah nilai rata rata 63Ada seorang siswa dengan mendapatkan 78 poin tidak termasuk dalam kelompok. BSE IPS SMP KELAS 7 8 9 FULL BOOK LENGKAP DI SINI.
Source: tomatalikuang.com
Latihan soal olimpiade biologi sebagai bahan belajar persiapan OSN SMP 2019. Soal dan Kunci Jawaban OSN-K Biologi SMA Tahun 2012. Dibawah ini adalah link download kumpulan soal osk osp osn ilmu pengetahuan alam ipa smp setiap tahun. Soal pilihan ganda dan soal pilihan analisis. Spesiasi makanan yang diperlukan hewan dan tumbuhan tidak hanya digunakan untuk tumbuh dan berkembang tetepi diperlukan pula untuk a.
Download Soal Latihan OSN Biologi 2020 PDF Pembahasan.
Iran tahun itu juga setelah diseleksi dan digembleng habis-habisan pas semester 5 kelas 9 di Jakarta Selatan-Depok FMIPA UI. Pembahasan soal no 49 dan 13 youtubeNGyUmwiu358 Edited Using KineMaster. Sistem organ ekskresi 1. Download Soal Latihan OSN Biologi 2020 PDF Pembahasan.
Source: kumpulansoal-113.blogspot.com
Sistem organ pencernaan D. Sistem organ pencernaan D. 20200129 Pembahasan Soal KSN Matematika SD 20202021 PDF Olimpiade Sains Nasional 2020 atau OSN 2020 OSP 2020 OSK 2020 sekarang ini sudah berganti nama menjadi Kompetisi Sains Nasiona 2020 atau KSN 2020OGN-Olimpiade Guru Nasional merupakan wadah resmi bagi bapakibu guru untuk berkompetisi di bidang profesionalnya. PEMBAHASAN SOAL OLIMPIADE IPA BIOLOGI SMP Pembahasan OSN IPA SMP 2019 tingkat provinsi bagian biologi No. Sistem organ ekskresi benar dengan memilih huruf A B C B.
Source: bakingupforlosttime.blogspot.com
Pembahasan soal no 49 dan 13 youtubeNGyUmwiu358 Edited Using KineMaster. Download Soal Latihan OSN Biologi 2020 PDF Pembahasan Pada kesempatan kali ini website RukimID akan membagikan latihan soal dan pembahasan persiapan OSK OSP dan OSN SMA tahun 2020 untuk Bidang Biologi PDF. Olimpiade Sains Nasional bertujuan memotivasi dan. Belajar Biologi SMP Gratis. Sistem organ ekskresi 1.
Source: lasopaspin771.weebly.com
Soal dan Kunci Jawaban OSN-K Biologi SMA Tahun 2012. Soal Olimpiade Sains bidang biologi rerdiri dari dua 2 bagian yairu. Soal dan Kunci Jawaban OSN-K Biologi SMA Tahun 2012. PEMBAHASAN SOAL OLIMPIADE IPA BIOLOGI SMP Pembahasan OSN IPA SMP 2019 tingkat provinsi bagian biologi No. Contoh soal uas biologi kelas x semester 1 beserta jawabannya contoh soal uas bahasa indonesia kelas 11 kurikulum 2013.
Situs ini adalah komunitas terbuka bagi pengguna untuk menuangkan apa yang mereka cari di internet, semua konten atau gambar di situs web ini hanya untuk penggunaan pribadi, sangat dilarang untuk menggunakan artikel ini untuk tujuan komersial, jika Anda adalah penulisnya dan menemukan gambar ini dibagikan tanpa izin Anda, silakan ajukan laporan DMCA kepada Kami.
Jika Anda menemukan situs ini lengkap, tolong dukung kami dengan membagikan postingan ini ke akun media sosial seperti Facebook, Instagram dan sebagainya atau bisa juga bookmark halaman blog ini dengan judul soal olimpiade biologi smp dengan menggunakan Ctrl + D untuk perangkat laptop dengan sistem operasi Windows atau Command + D untuk laptop dengan sistem operasi Apple. Jika Anda menggunakan smartphone, Anda juga dapat menggunakan menu laci dari browser yang Anda gunakan. Baik itu sistem operasi Windows, Mac, iOS, atau Android, Anda tetap dapat menandai situs web ini.





